Pedidos para o Cote Fácil via MerchCompras

Identificador: 788
Autor: Alfredo da Silva Junior   quarta-feira, Dia 13 de julho de 2016, às 18:00:45 horas
Revisado Por: Alfredo da Silva Junior   quarta-feira, Dia 13 de julho de 2016, às 19:50:32 horas
Visualização: Todos

Pontos: 5   Acessos: 1573

Fato

Como realizar a exportação de um pedido para o Cote Fácil e processar o retorno do mesmo no MerchCompras para verificar o foi atendido.


Causa

Dúvidas na utilização da integração do Cote Fácil pelo MerchCompras.


Solução

O Cote Fácil tem a funcionalidade de ser possível realizar um pedido (uma lista de produtos que se deseja comprar) lançá-los no portal do Cote Fácil e aguardar que os representantes dos fornecedores respondam com o valor de cada produto em suas respectivas distribuidoras. Após os fornecedores lançarem os seus valores é possível escolher o fornecedor "ganhador" para cada produto e fazer um pedido para esses fornecedores separadamente. 

O MerchCompras possui o recurso de diminuir esse trabalho. É possível realizar um pedido no sistema, esse pedido é Exportado em um arquivo. E esse arquivo pode ser importado no Portal do Cote Fácil. Com isso, não é necessário digitar ítem a ítem no Cote Fácil.

Após o final do término da cotação e do fechamento da mesma com os pedidos definidos para cada fornecedor, é possível importar o arquivo de retorno do Cote Fácil para importá-lo no MerchCompras, para que no próprio sistema seja possível ser verificado o que foi atendido e não atendido por cada fornecedor. 

Abaixo seguem as instruções de como fazer a exportação do arquivo do pedido do Cote Fácil e também a importação do arquivo de retorno.

1. Primeiramente é necessário fazer um pedido no sistema MerchCompras. Depois é necessário ir no seguinte caminho: Pedidos/Projeto Cote Fácil/Gerar Arquivo de Cotação.





2. O arquivo salvo no caminho mencionado é o que deve ser IMPORTADO no Portal do Cote Fácil. É o inicio da cotação. 

3. Após o prazo da cotação ter sido extinguido e os pedidos terem sido enviados para cada fornecedor após alguns duas o Cote Fácil disponibiliza um arquivo de retorno. Para ser verificado o que REALMENTE cada fornecedor atendeu pois podem existir divergências entre o que foi atendido na cotação e o que realmente foi atendido pela distribuidora. Para fazer o download do arquivo de retorno é necessário ir no Portal do Cote Fácil no seguinte caminho:




4. Será feito o download de um arquivo que deverá ser guardado em alguma pasta no computador, para que o mesmo possa ser pesquisado.

5. Quando é gerado um arquivo de cotação do Cote Fácil, o Status do pedido já é alterado automaticamente para: AGUARDANDO PROCESSAMENTO, pois o retorno deve ser importado no MerchCompras. Observe as imagens abaixo:




6. Para cada fornecedor "ganhador" será possível gerar um relatório com os ítens atendidos por ele.



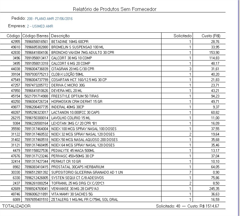
7. As vezes, alguns produtos das cotações não são atendidos pelas distribuidoras (mesmo sendo confirmados na cotação), então o sistema gera um relatório com esses itens para que se for desejado, o operador refazer um pedido com os mesmos.





Postar um comentário